표본,모표본★평균과 분산★기초통계학-[Chapter05 - 이산확률분포-02]
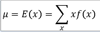
1. 평균
==> 이산확률변수의 확률 히스토그램 ==> 상대도수히스토그램과 유사
But. 상대도수히스토그램은 n개의 자료 값에 대한 표본 설명
확률 히스토그램은 실험에서 발생할 수 있는 모든 경우에 대하여 설명
https://knowallworld.tistory.com/202
★zip, collections.Counter()★도수표, 도수막대그래프★Plt, Fig, Seaborn 이해[Python]★기초통계학-[Chapter02
P46 고객 50명 대상으로 만족도 조사 GASAAIPIIGASSGPASSISPIPPPGASPIGIAGGSPASGPIAAGSSGGS ==> 50명의 고객 1. 도수표 그리기 c = 'GASAAIPIIGASSGPASSISPIPPPGASPIGIAGGSPASGPIAAGSSGGS' d = [] for i in c: d.append(i) d d = ['G', 'A','S', ···
knowallworld.tistory.com
==> 참고


E(X) ==> (0 * 1 + 1 * 3 + 2 * 3 + 3 * 1) / 8 = 12 / 8 = 3 /2 = 1.5

E(X) ==> (0 * 0.125 + 1 * 0.375 + 2 * 0.375 + 3 * 0.125) / 8 = 1.5 / 8 = 0.1875
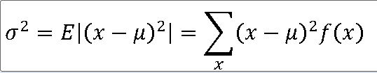
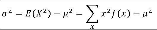
2. 분산
width = ['{} ~ {}'.format(i+0.5 , i+10.5) for i in range(9,68 , 10)]
x_i = [ round((i+0.5 - 5),1) for i in range(19, 70, 10)]
dosu = [9,9,9,10,2,1]
print(len(dosu))
print(len(x_i))
A = pd.DataFrame([dosu , x_i] , columns = width , index = ['도수(f_i)' , '계급값(x_i)'] )
A = A.T
A.index.names = ['계급 간격']
A['f_i_x_i'] = A['도수(f_i)'] * A['계급값(x_i)']
A.loc['합계'] = A[:].sum(axis=0)
A.iloc[-1,1] = '-'
A

https://knowallworld.tistory.com/214
★DDOF = 1★모/표본분산 , 모/표본표준편차★평균편차★기초통계학-[Chapter03 - 04]
산포의 척도 ==> 평균깊이가 1.2M인 강을 키가 1.7M인 사람이 걸어서 무사히 건널 수 있는지에 대해 생각 ==> 강의 평균 깊이가 1.2M 라는 뜻은 1.2M보다 작은 부분도 있지만 1.2M보다 깊은 곳도 있을 수
knowallworld.tistory.com
==> 표본분산, 표본표준편차 참고
B = pd.DataFrame([dosu] , columns = x_i)
B.index = ['P(X = x)']
B.loc['P(X = x)'] = B.loc['P(X = x)'] / 40
B



B = B.T
B = B.reset_index()
B
B['x * p(x)'] = (B.loc[: , 'P(X = x)']) * B.loc[:, 'index']
B['x**2 * p(x)'] = (B.loc[: , 'P(X = x)']) * (B.loc[:, 'index']**2)
B.loc['합계']= B[:].sum(axis=0)
# B.iloc[-1,1] = '-'
avg = B.iloc[-1, -2]
B

var = B.iloc[-1,-1] - avg**2
var
==> 분산 : 173.75
https://knowallworld.tistory.com/217
경험적규칙★체비쇼프 정리★기초통계학-[Chapter03 - 06]
100개의 자료에서 구간 1 : [x-s , x+s] 안에 69개의 자료가 들어있다. ==> 3 + 5 + 6 + 4 + 9 + 1 + 6 + 4 + 7 + 8 + 4 + 9 + 3 = 69 구간 2: [x-2s , x+2s] ==> 69 + (1+1+2+4+1+5 + 2 + 4 +0 + 2 + 2 +2 +1) = 96 구간 3 : [x-3s , x+3s] ==> 96+ 2
knowallworld.tistory.com
==> 체비쇼프 정리 참고
===> 경험적 규칙(Empirical rule)에 의하여 자료의 68%가 [ |x-s , |x+s] 안에있고,95%가 [ |x-2s , |x+2s] , 99.7%가 [|x-3s , |x+3s]안에들어있다.
==> 100 * ( 1 - (1/k**2) ) %
출처 : [쉽게 배우는 생활속의 통계학] [북스힐 , 이재원]
※혼자 공부 정리용
'기초통계 > 이산확률변수' 카테고리의 다른 글
| ★초기하분포★기하분포★이산균등분포★기초통계학-[Chapter05 - 이산확률분포-06] (0) | 2022.12.15 |
|---|---|
| ★Seaborn에서의 Subplots★이항확률의 근사 확률★푸아송분포★기초통계학-[Chapter05 - 이산확률분포-05] (0) | 2022.12.15 |
| 푸아송분포★기초통계학-[Chapter05 - 이산확률분포-04] (0) | 2022.12.14 |
| 이항분포식★이항실험★이항분포의 평균,분산★베르누이시행★기초통계학-[Chapter05 - 이산확률분포-03] (1) | 2022.12.14 |
| ★key, value , items() , sorted(key =), loc로 행추가!★확률분포★기초통계학-[Chapter05 - 이산확률분포-01] (0) | 2022.12.14 |