★초기하분포★기하분포★이산균등분포★기초통계학-[Chapter05 - 이산확률분포-06]
1. 이산균등분포(Discrete Uniform Distribution)
1> 동전을 한 번 던져서 앞면이 나온 횟수를 X
==> p(x) = 1/2 , x= 0 ,1
2> 주사위를 한 번 던질 때 나온 눈의 수를 확률 변수 X라 하면
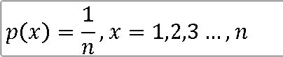
==> p(x) = 1/6 , x =1 , 2, 3, 4, 5, 6
==> 각 경우의 확률함수 값이 1/n으로 동등한 이산확률분포를 모수 n인 이산균등분포
==> X ~ DU(n)으로 나타난다.



EX ) 로또 1~45 나온 공의 숫자를 확률변수 X
1> X의 확률 함수
X ~ DU(45)
p(x) = 1/45 , x = 1, 2, 3, ... , 45
2> X의 평균과 분산
m = (1+ 45) /2 = 23
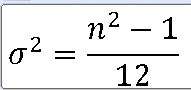
o**2 = (45**2 - 1) /12 ~~ 168.67
3> 한 자리 숫자가 나올 학률
P(1<= X <=9) = p(1) + p(2) + ..... p(9) = 9/45 = 1/5 = 0.2
EX-02 ) 룰렛게임에서 던진 공이 들어간 숫자를 X
1> X의 확률변수
p(x) = 1/36 , x=1,2,3,4,...,36
2> X의 평균과 분산, 표준편차
E(X) = (36 +1) / 2 = 18.5
V(X) = (36**2 - 1) / 12 ~~ 107.9166
3> 30이상의 숫자가 선택될 확률
P(X>=30) = 7/36 = 0.1944
2. 기하분포(Discrete Uniform Distribution)
==> 처음으로 X가 취할 수 있는 숫자는 1,2,3...
==> 확률변수 x는 매회 성공률이 1/6인 베르누이 실험을 처음으로 성공할 때까지 독립적으로 반복 시행한 횟수를 의미
==> 매회 성공률이 p인 베르누이 실험을 처음으로 성공 할때까지 반복 시행한 횟수에 관한 확률분포를 모수 p인 기하분포
X ~ G(p)로 나타낸다.



X = np.arange(1, 10)
p = 0.5
P = []
for i in X:
P.append( (p) * ((1-p)**(i-1)) )
A = pd.DataFrame([P] , columns = X)
A.index =['P(X = x)']
A.columns.names = ['X']
A

fig = plt.figure(figsize = (15,8))
ax = sns.barplot(x= X, y = A.loc['P(X = x)'])
ax.set_title('주사위 기하분포')
ax.set_xlabel('확률' , rotation = 0 , fontsize= 15 , labelpad=18)
ax.set_ylabel('횟수', rotation = 0 , fontsize = 15 , labelpad=18)
ax.set_yticks(np.arange(0,0.51 , 0.025))
for i,txt in enumerate(A.loc['P(X = x)']):
b = txt
print(b)
if b == max(A.loc['P(X = x)']):
ax.text(i, b+0.004, str(txt)+'%' , ha='center' , color = 'red' , fontweight = 'bold' , fontsize=17)
#어디 막대, 막대기의 위쪽에
else:
ax.text(i, b+0.005, str(txt)+'%' , ha='center' , color = 'dimgray' , fontsize=13 , fontweight = 'bold')

EX-01) 신용카드 한 장 판매할 확률 0.1 ==> 처음 카드 팔때까지 고객 만난 횟수 X
1> X의 확률함수
X ~ G(0.1)
p = 0.1 * (0.9 ** (x-1) )
2> X의 평균과 분산
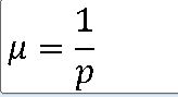
평균(뮤) = 1/p = 1/ 0.1 = 10
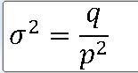
V(x) = 0.9 / (0.1 **2) = 90
3> 5번째 만난 고객과 7번째 만난 고객 사이에 처음으로 카드를 팔 확률
p = 0.1
q = 1 - p
p_x = 0
for i in range(5,8):
p_x += p * (math.pow(q, i-1))
print(p_x)
P(5<= X <= 7) = P(5) + P(6) + P(7) = 0.1778
EX-02) 폐결핵 5.8% , 양성반응을 보인 사람이 처음으로 발견될 때까지 검사를 받은 노숙인 수를 X
1> X의 확률함수
X ~ G(0.058)
p(x) = 0.058 * ((1-0.058)**(x-1))
2>평균적으로 몇 번째 노숙인에게서 처음 양성반응?
E(x) = 1/p = 1/ 0.058 = 17.2413
17번째
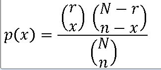
3. 초기하분포(Hypergeometric Distribution)
1> 빨간공 4개 , 파란공 5개 있는 주머니에서 공 4개를 꺼내는 경우의 수 와 빨간 공 2개와 파란 공 2개를 꺼내는 경우의 수
==> 표본점 : 9C4 ==> 126
==> 빨간공 2개 , 파란 공 2개 ==> 4C2 * 5C2 = 60
==> P(빨간 공 2개와 파란 공 2개) = (4C2 * 5C2) / (9C4) = 60/126 = 10/21



==> 빨간공 r개 , 파란공 N-r개 가 들어있는 주머니에서 공 n개를 임의로 꺼낼때 꺼낸 공 n개 안에 포함된 빨간 공의 개수 X에 대한 확률분포를 모수 N,r,n인 초기하분포
X~ H(N , r , n) 으로 나타낸다.
EX-01) 여자 4명 , 남자 6명이 있는 그룹에서 무작위 2명 산출
1> 선출된 2명 중에 포함되어있는 남자 수에 대한 확률 함수
N = 10 , n = 6 , r= 2
X ~ H(10 , 6 , 2)
p(x) = (6Cx * 4C2-x) / 10C2
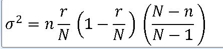
2> 선출된 남자 수에 대한 평균과 분산
평균(뮤) = n* (r/N) = 2 * 6/10 = 1.2
분산 = 6 * (2/10) (1 - (2/10) ) ( (10-6) / (10-1) ) = 0.4266
3>선출된 2명이 모두 남자
P(X=2) = 6C2 * 4C0 / 10C2 = 0.333
4>여자 1명, 남자 1명
P(X=1) = 6C1 * 4C1 / 10C2 = 6*4/ 45 = 8/15
EX-02) 빨간 공 4개 , 파란 공 5개 들어 있는 주머니에서 공 4개 꺼낼 때, 공 4개 중에 포함된 빨간공의 수를 X
1> X의 확률 함수
N = 9 , n = 4 , r=4
X ~ H(N,n,r)
P(x) = (4Cx * 5C4-x) / 9C4
2> 평균과 분산
평균(뮤) = n * r/N = 4 * 4/9 = 16/9
분산 = 4 * (4/9) * (1 - 4/9) * ( (9 -4) / (9-1) ) = 0.6172
3> 빨간공 3개와 파란 공 1개가 나올 확률
P(X=3) = 4C3 * 5C 1 / 9C4 = 20/126 = 10/63
==> r/N = p 가 일정하고 N이 충분히 크면 H(N , r , n) ~~ B(n, p) 이다.
==> 평균 : np , 분산 : npq
https://knowallworld.tistory.com/241
이항분포식★이항실험★이항분포의 평균,분산★베르누이시행★기초통계학-[Chapter05 - 이산확률
1. 이항분포 ==> 많이 사용하는 확률 모형 : 이항분포, 푸아송분포 , 초기하분포 1. 이항실험(Bionomial Experiment) ==> 실험은 N번의 시행 ==> 실험 결과는 성공(S) , 실패(F) ==> 성공 확률 : p , 실패 확률 : q
knowallworld.tistory.com
==> 이항분포 참고
EX-03) 500명 모집하는 공무원에서 남자 200명과 여자 300명 합격 ==> 10명 무작위로 선정 ==> 여자가 6명일 확률
p = 300/500 = 0.6
n = 10
N = 500
r = 6
X ~ H(500 , 300 , 10)
X ~~ B(10 , 0.6)
b = len(list(itertools.combinations(np.arange(10) , 6)))*(math.pow(0.6 , 6)) *(math.pow(0.4 , 4))
print(b)
==> 10C6 * ((0.6)**6) * ((0.4)**4)
P(X=6) = 0.2508
EX-04) 200개의 상품 중 20개가 불량 ==> 20개 무작위 선정 ==> 2개가 불량품일 근사확률
N = 200
n = 20
r =2
p = 20/200 = 0.1
X ~ H(200 , 2 , 20)
X ~ B(20 , 0.1)
b = len(list(itertools.combinations(np.arange(20) , 2)))*(math.pow(0.1 , 2)) *(math.pow(0.9 , 18))
print(b)
==> 0.28517
출처 : [쉽게 배우는 생활속의 통계학] [북스힐 , 이재원]
※혼자 공부 정리용
'기초통계 > 이산확률변수' 카테고리의 다른 글
| ★푸아송분포★이항분포의 평균 분산★베르누이★이산확률변수★기초통계학-[Chapter05 - 연습문제-08] (0) | 2022.12.16 |
|---|---|
| ★푸아송분포★기하분포★초기하분포★베르누이★이산확률변수★기초통계학-[Chapter05 - 연습문제-07] (0) | 2022.12.15 |
| ★Seaborn에서의 Subplots★이항확률의 근사 확률★푸아송분포★기초통계학-[Chapter05 - 이산확률분포-05] (0) | 2022.12.15 |
| 푸아송분포★기초통계학-[Chapter05 - 이산확률분포-04] (0) | 2022.12.14 |
| 이항분포식★이항실험★이항분포의 평균,분산★베르누이시행★기초통계학-[Chapter05 - 이산확률분포-03] (1) | 2022.12.14 |