★푸아송분포★이항분포★기초통계학-[Chapter05 - 연습문제-10]
21. 1cm**2 당 평균 4개의 흔적 , 2cm*2 에 많아야 3개의 흔적이 있을 확률 (푸아송 분포)
n = 8
X ~ B(2, 8)
P(X) = 8**x * e(-x) / x!
P(X<=3) = P(X=0) + P(X=1) +P(X=2) + P(X=3) = 0.042380111991684
m = 8
p_x =0
for x in range(4):
a = math.pow(m , x) * math.exp(-m) / fact(x)
p_x += a
print(p_x)
22. 숫자 1에서 100까지 적힌 카드가 들어있는 주머니에서 임의로 1장 꺼내기
1> X의 확률함수
p(x) = 1/100 , x=1,2,3,4,....
2> X의 평균,분산, 표준편차
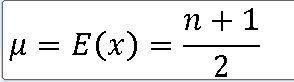
평균 : (100 +1) / 2
분산 : ( (100**2) -1 ) / 12
표준편차 : 루트 분산
https://knowallworld.tistory.com/245
★초기하분포★기하분포★이산균등분포★기초통계학-[Chapter05 - 이산확률분포-06]
1. 이산균등분포(Discrete Uniform Distribution) 1> 동전을 한 번 던져서 앞면이 나온 횟수를 X ==> p(x) = 1/2 , x= 0 ,1 2> 주사위를 한 번 던질 때 나온 눈의 수를 확률 변수 X라 하면 ==> p(x) = 1/6 , x =1 , 2, 3, 4, 5,
knowallworld.tistory.com
==> 이산균등분포



23. p(x) = (0.6)* ( (0.4) ** (x-1) ) , x=1,2,3 ==> 기하분포



p = 0.6
1> 평균
기하분포의 평균 : 1 / p = 6
2> 3번째에 발견될 확률
p(X=3) = p* q**2 = 0.6 * (0.4**2) = 0.096
24. 환자들의 20%가 결핵, 처음으로 양성반응을 보인 환자가 발견될 때까지 검사를 받은 환자 수를 X ==> 기하분포
1> X를 확률변수
p(x) = (0.2) *(0.8 ** (x-1)) , x=1,2,3,4
2> 처음으로 양성반응을 보인 환자가 발견될 때까지 검사를 받은 환자의 평균
E(x) = 1/p = 1/ 0.2 = 5
3>검사에서 10명을 검사해서야 비로소 처음 결핵환자가 발견될 확률
p(X=10) = (0.2) * (0.8 ** ( 10-1 )) = 0.02684
25. 평소 3번 전화걸면 2번 통화되는 친구에게 5번째 전화에서 처음으로 통화가 될 확률==> 기하확률
p = 2/3
p(x) = (2/3) * (1/3 **(x-1) )
p(5) = (2/3) * (1/3 ** (4) ) = 0.00823
26. 질병걸린사람 전체 인구 5% , 질병에 걸린 사람을 찾을 때까지 임의로 진찰 ==> 기하분포
p= 0.05
p(x) = (0.05) * (0.95 ** (x-1) )
1> 평균
E(X) = 1/p = 1/ 0.05 = 100 / 5 = 20
2>4명 이하의 환자 진찰, 질병에 걸린 사람을 만날 확률
p = 0.05
p_x = 0
for i in range(1,5):
a = p * ((1-p) **(i-1) )
p_x += a
print(p_x)
P(X<=4) = p(x=1) + p(x=2) + p(x=3) + p(x=4) = 0.18549
3>10명 이상 진찰, 질병에 걸린 사람을 만날 확률
p = 0.05
p_x = 0
for i in range(1,10):
a = p * ((1-p) **(i-1) )
p_x += a
print(1- p_x)
P(X>=10) = 1 - P(X<=9) = 0.6302
27. 30명의 환자가 있는 병동에 5명의 AIDS환자, 10명 선정 ==> 10명 임의 선정 ==> 초기하분포
1> 이 의사에게 진찰 받은 환자 중 AIDS 환자 2명이 포함될 확률
N = 30
n = 10
r = 2
p = 5/30
X ~ B(10 , 1/6)
= 5C2 * 25C8 / 30C10 = 0.36
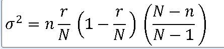
2> 임의로 선정된 10명중에 AIDS 환자가 포함될 기댓값과 분산


E(X) = 10 * (5) / 30 =
V(X) = 5/3 * 5/6 = 25/18 =
출처 : [쉽게 배우는 생활속의 통계학] [북스힐 , 이재원]
※혼자 공부 정리용
'기초통계 > 이산확률변수' 카테고리의 다른 글
| ★초기하분포★기초통계학-[Chapter05 - 연습문제-11] (0) | 2022.12.18 |
|---|---|
| ★어려운거 다시보기★푸아송분포★이항분포★기초통계학-[Chapter05 - 연습문제-09] (1) | 2022.12.17 |
| ★푸아송분포★이항분포의 평균 분산★베르누이★이산확률변수★기초통계학-[Chapter05 - 연습문제-08] (0) | 2022.12.16 |
| ★푸아송분포★기하분포★초기하분포★베르누이★이산확률변수★기초통계학-[Chapter05 - 연습문제-07] (0) | 2022.12.15 |
| ★초기하분포★기하분포★이산균등분포★기초통계학-[Chapter05 - 이산확률분포-06] (0) | 2022.12.15 |