★모평균, 표본평균★중심위치의 척도★기초통계학-[Chapter03 - 01]
1. 중심위치의 척도
==> 원자료를 의미 있는 형태로 정리하기 위해 도수분포표를 작성하여 결과를 히스토그램 또는 도수다각형의 그림으로 나타냄
==> 자료가 집중하는 경향을 수치로 나타내는 척도를 알 수 있다.
광역시·도별 내 집 마련 기간 ==> 점도표
==> 중위값(중심위치) ==> 중심위치의 척도
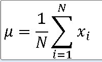
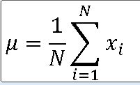
1. 모평균
==> 모집단을 이루는 자료 전체의 평균
==> N개로 구성된 모집단의 각 자료 값을 x1, x2 ·····xN이라 할때

EX) 1. 경부선 나들목 사이의 평균 거리는 12.21m이다.
==> But. 모집단을 구하는 것은 어려우므로 보통 자료집단은 표본 의미, 평균은 표본 평균
2. 표본평균
==> 모집단을 이루는 자료 전체의 평균
EX) 음료수 생산하는 회사에서 제조된 음료수의 용량을 180mL로 표시
==> 병마다 정확하게 180mL씩 음료수가 들어 잇는지 조사 위해 병 20개 추출
==> 20개의 음료수 병에 들어 있는 음료수의 양은 표본 , 음료수 양에 대한 산술 평균을 표본 평균이라 한다.
==> N개로 구성된 표본의 각 자료 값을 x1, x2 ·····xN이라 할때

EX) A[1,2,3,4,5] 와 B[1,2,3,4,50]
1. 두 집단의 표본평균
==> 1+2+3+4+5 / 5 = 3 , 1+2+3+4+50/5 = 12

표본의 표준편차 A : 1.581139 B: 21.272047
3. 모평균과 표본평균의 특성
1. 평균은 유일
2. 평균은 계산하기 쉽다.
3. 모든 측정값을 반영
5. 각 자료값과 평균의 편차의 합은 0
6. 각 자료값과 평균의 편차의 제곱을 모두 더한 잔차제곱합 이 다른 유형의 위치척도에 비하여 작다.
7. 특이점 유무에 따라 큰 차이를 보인다.
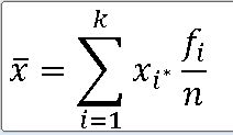
4. 가중평균
==> 동일한 자료 값이 여러 개씩 관찰되는 경우
EX) 10000원 4권 , 13000원 3권 , 15000원 3권
==> 평균 금액 : (10000*4 + 13000*3 +15000*3)/10 = (40000+39000+45000)/10 = 12400원
==> 상대도수 : 4/10 3/10 3/10
==> 가중평균 : 10000 * (4/10) + 13000*(3/10) + 15000*(3/10)
==> 서로 다른 금액으로 판매된 서적의 금액과 판매도수의 곱을 모두 합한 것
==> 서로 다른 자료값 x1 , x2 · · · · · · · · · ·xi 가 f1,f2 · · · · · · · · · ·f i 번씩 나타나고 전체 관측도수가 n일 때

==> 가중평균은 도수분포표에서 주어진 자료에 대해 중심위치를 구하는 데 매우 효과적으로 사용한다.
출처 : [쉽게 배우는 생활속의 통계학] [북스힐 , 이재원]
※혼자 공부 정리용
'기초통계 > 평균,표준편차,분산' 카테고리의 다른 글
| 경험적규칙★체비쇼프 정리★기초통계학-[Chapter03 - 06] (0) | 2022.12.06 |
|---|---|
| ★distplot , histplot , twinx(), ticker , axvline()★정규분포 그래프★기초통계학-[Chapter03 - 05] (0) | 2022.12.06 |
| ★DDOF = 1★모/표본분산 , 모/표본표준편차★평균편차★기초통계학-[Chapter03 - 04] (0) | 2022.12.02 |
| np.median★절사평균, 중위수★기초통계학-[Chapter03 - 03] (0) | 2022.12.02 |
| ★가중평균, 표본평균★기초통계학-[Chapter03 - 02] (1) | 2022.12.02 |