★균등분포★scipy.stats.uniform.pdf(x= , loc= , scale=)★np.where()★평균_분산구할때_오차줄이기★기초통계학-[Chapter06 - 연습문제-10]
7. 1.5V 건전지는 1.45V에서 1.65V 사이에서 균등분포를 이룬다.
https://knowallworld.tistory.com/252
sympy INTEGRAL,Symbol,pprint★scipy.stats.UDF_균등분포★stats.PDF_확률밀도함수★기초통계학-[Chapter06 - 연속
1. 연속확률변수(Continous Random Variable) ==> 확률변수가 취할 수 있는 모든 값, 상태공간이 어떤 구간으로 나타나는 확률변수 의미 ==> 확률변수 X가 취할 수 있는 모든 값이 유한구간 [a,b] or [(0, 무한
knowallworld.tistory.com
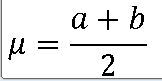
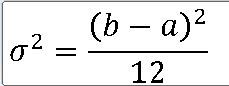
1> 임의로 하나 선정 ==> 기대되는 전압(E(X) ) 과 표준편차(루트(V(X)))
X ~ U(1.45, 1.65)

print( (1.45 + 1.65) / 2)
print(np.mean(np.arange(min,max, .01)))
==> x축의 간격들을 평균처리
==> 1.55

print( math.pow(1.65 - 1.45,2) / 12)
print(np.var(np.arange(min,max, .01)))
==> x축의 간격들을 분산처리!!!
==> 0.0033
2>건전지 전압이 1.5V 보다 작을 확률
P(1.45<=X<=1.5) = 0.25
#1.5V 건전지는 1.45V에서 1.65V 사이에서 균등분포를 이룬다.
min , max = 1.45, 1.65
# x_2 = linspace(min-1 , max+1 , 100)
x_2 = np.arange(min-.2 , max+.2 , .01)
print(x_2)
y = scipy.stats.uniform.pdf( x = x_2 , loc = min , scale = max-min)
print(y)
print(len(y[np.where(y != 0.)])) #np.where 활용
==> np.where 조건절로 원하는 값 추출 가능(0. 아닌것들 추출)
[0. 0. 0. 0. 0. 0. 0. 0. 0. 0. 0. 0. 0. 0. 0. 0. 0. 0. 0. 0. 5. 5. 5. 5.
5. 5. 5. 5. 5. 5. 5. 5. 5. 5. 5. 5. 5. 5. 5. 5. 0. 0. 0. 0. 0. 0. 0. 0.
0. 0. 0. 0. 0. 0. 0. 0. 0. 0. 0. 0.]
20
fig = plt.figure(figsize=(12, 8))
ax = sns.lineplot(x = x_2 , y= y)
ax.set_title('균등분포(Uniform Distribution)')
ax.set_xlabel('X' , fontsize= 15)
ax.set_ylabel('Y' , fontsize= 15 , rotation = 0 , labelpad = 12)
a = scipy.stats.uniform.pdf( x = 1.5 , loc = 1.45 , scale = 1.65-1.45) #scipy.stats.uniform.pdf( x = 1.5 , loc = min , scale = max-min)
print(a)
ax.vlines(1.5 , ymin = 0 , ymax = a , color = 'black' , linestyle ='solid' , label ='{}'.format(2))
ax.fill_between(x_2 , a , 0 , where = (x_2<= 1.5001) & (x_2>= 1.445)) #오차있으므로 신경 끄자.
area = (1.5 - 1.45)*a #넓이 구하기!!!!!
print(area)
ax.text(1.51 , 3, 'P(1.45=<X<=1.5)' + f"= {round(area,4)}",fontsize=15)
==> scipy.stats.uniform.pdf( x = 어디까지 확률을 구할것인가, loc= 균등분포에서 제일 작은값 , scale = 균등분포 제일 끝값끼리의 차)

==> 중간에 빈칸들은 np.arange()값을 세분화 시키면 사라진다.
x_2 = np.arange(min-.2 , max+.2 , .001)
y = scipy.stats.uniform.pdf(x = x_2 , loc = 1.45 , scale = 1.65-1.45)
print(y)
fig = plt.figure(figsize=(12, 8))
ax = sns.lineplot(x = x_2 , y= y)
ax.set_title('균등분포(Uniform Distribution)')
ax.set_xlabel('X' , fontsize= 15)
ax.set_ylabel('Y' , fontsize= 15 , rotation = 0 , labelpad = 12)
a = scipy.stats.uniform.pdf( x = 1.5 , loc = 1.45 , scale = 1.65-1.45) #scipy.stats.uniform.pdf( x = 1.5 , loc = min , scale = max-min)
print(a)
ax.vlines(1.5 , ymin = 0 , ymax = a , color = 'black' , linestyle ='solid' , label ='{}'.format(2))
ax.fill_between(x_2 , a , 0 , where = (x_2<= 1.5) & (x_2>= 1.45)) #오차있으므로 신경 끄자.
area = (1.5 - 1.45)*a #넓이 구하기!!!!!
print(area)
ax.text(1.51 , 3, 'P(1.45=<X<=1.5)' + f"= {round(area,4)}",fontsize=15)

3>10개의 건전지가 들어있는 상자 안에 1.5V보다 전압이 낮은 건전지의 수의 평균과 분산 ==> 베르누이 시행
https://knowallworld.tistory.com/241
이항분포식★이항실험★이항분포의 평균,분산★베르누이시행★기초통계학-[Chapter05 - 이산확률
1. 이항분포 ==> 많이 사용하는 확률 모형 : 이항분포, 푸아송분포 , 초기하분포 1. 이항실험(Bionomial Experiment) ==> 실험은 N번의 시행 ==> 실험 결과는 성공(S) , 실패(F) ==> 성공 확률 : p , 실패 확률 : q
knowallworld.tistory.com
1.5V 보다 작을 확률 = 0.25
X ~ B(10 , 0.25)
E(X) = 10* 0.25 = 2.5
V(X) = 2.5 * 0.75 = 1.875
4> 1.5V 보다 낮은 전압을 가진 건전지가 4개 이상 들어있을 확률 ==> 이항분포 , 이항정리 잘 기억!
https://knowallworld.tistory.com/256
[PYTHON]_코테에서도 쓰일_조합_계산_파스칼의 삼각형_시간복잡도(이항정리, 이항계수) 사용하기!!
1. itertools.combination 사용하기 https://knowallworld.tistory.com/146 [Python] 순열, 조합, 중복순열, 중복조합(itertools이용한 백트래킹) https://knowallworld.tistory.com/228 Permutations()★순열,조합,중복순열,중복조합★
knowallworld.tistory.com
P(Y>=4) = 1- P(Y<3) =
f(x=3) = 10C4 * (0.25**3) * (0.75**7)
res = 0
for i in range(4):
a = len(list(itertools.combinations(np.arange(10) , i)))
print(a)
b = math.pow(0.25 , i) * (math.pow(0.75 , 10-i))
c = a*b
print(c)
res+=c
print(1- res)
0.22412490844726562
8. 버스는 오후 1시부터 5시까지 40분 간격, 버스 기다리는 시간은 0에서 40분까지 균등하게 분포를 이룬다.
1> 버스를 기다리는 시간에 대한 확률 밀도함수
f(x) = 0.025 (0<x<40)
0 (otherwise)
2>기다리는 시간의 평균과 표준편차
means = np.mean(x[np.where((x>= 0) & (x<=40))])
#np.where 사용시 ndarray로 한번더 묶어줘야한다.
print(means)
vars = np.var(x[np.where((x>= 0) & (x<=40))])
==> np.where 사용시 ==> array의 변수로 리스트화 하여 묶어줘야한다!!!
E(X) = 20
V(X) = 133.3325
print("what?! {}".format(np.std(np.arange(0,40,.1))))
print("what?! {}".format(np.var(np.arange(0,40,.1))))
==> 1단위일때 1/10 단위로 np.arange()처리하면 오차를 줄일 수 있다!!!
표준편차 = 루트(140) = 11.547
3> 15분 이상 기다릴 확률
fig = plt.figure(figsize= (15,8))
ax = sns.lineplot(x= x , y= y)
ax.hlines(y= scipy.stats.uniform.pdf(x=30 , loc= min , scale = max-min) , xmin = 0-2 , xmax =45)
ax.vlines(x= 15 , ymin = 0 ,ymax= scipy.stats.uniform.pdf(x=30 , loc= min , scale = max-min) , color ='black')
ax.fill_between(x , y , 0 , where = (x<= 40) & (x>= 15)) #오차있으므로 신경 끄자.
ax.text(-8 , scipy.stats.uniform.pdf(x=30 , loc= min , scale = max-min) , "y = {}".format(round(scipy.stats.uniform.pdf(x=30 , loc= min , scale = max-min),7)), fontsize = 14)
#area = P(X>=15) = 1 - P(X<=15) ===> 균등분포는 연속확률분포다!!! 이산확률분포로 생각하면 안된다!!
area = 1 - (scipy.stats.uniform.pdf(x=30 , loc= min , scale = max-min) *15)
ax.text(5 ,0.020 , "P(X>=15) = {}".format(round(area,3)), fontsize = 14)
==> 균등분포는 연속확률분포이다!!!! P(X>=15) = 1-P(X<15) 이다!!!

P(X>=15) = 0.625
4> 기다리는 시간이 5분에서 10분 사이일 확률
fig = plt.figure(figsize= (15,8))
ax = sns.lineplot(x= x , y= y)
ax.hlines(y= scipy.stats.uniform.pdf(x=30 , loc= min , scale = max-min) , xmin = 0-2 , xmax =45)
ax.vlines(x= 10 , ymin = 0 ,ymax= scipy.stats.uniform.pdf(x=30 , loc= min , scale = max-min) , color ='black')
ax.vlines(x= 5 , ymin = 0 ,ymax= scipy.stats.uniform.pdf(x=30 , loc= min , scale = max-min) , color ='black')
ax.fill_between(x , y , 0 , where = (x<= 10) & (x>= 5)) #오차있으므로 신경 끄자.
ax.text(-8 , scipy.stats.uniform.pdf(x=30 , loc= min , scale = max-min) , "y = {}".format(round(scipy.stats.uniform.pdf(x=30 , loc= min , scale = max-min),7)), fontsize = 14)
#area = P(5<=X<=10) = P(X<=10) - (X<=4)
area = (scipy.stats.uniform.pdf(x=30 , loc= min , scale = max-min) *10) - (scipy.stats.uniform.pdf(x=30 , loc= min , scale = max-min) *5)
ax.text(15 ,0.020 , "P(5<=X<=10) = {}".format(round(area,3)), fontsize = 14)
==> 균등분포는 연속확률분포이다!!!! P(5<=X<=10) = P(X<=10) - P(X<5) 이다!!!

P(5<=X<=10) = P(X<=10) - P(X<=5) = 0.125
9. 연간 1인당 지출하는 보험료는 최소 25만원부터 최대 300만원 사이의 균등분포
1> 보험료로 지출하는 평균 금액과 표준편차를 구하라.
min , max = 25 , 300
x = np.arange(min - 25 , max + 25 , 1)
y = scipy.stats.uniform.pdf(x=x , loc= min , scale = max-min)
print(y)
print("평균 지출금액 : {}".format(np.mean( x[np.where( (x>=25) & (x<=300))])))
print("표준편차 지출금액 : {}".format(round(np.std(np.arange(min,max,.1)),3)))
평균 지출금액 : 162.5
표준편차 지출금액 : 79.386
2> 무작위로 한 사람 선정, 이사람이 연간 150만원 이상 지출할 확률
P(X>=150) = 1- P(X<150) = 0.545
fig = plt.figure(figsize= (15,8))
ax = sns.lineplot(x= x , y= y)
ax.hlines(y= scipy.stats.uniform.pdf(x=30 , loc= min , scale = max-min) , xmin = min-10 , xmax =310)
#
ax.vlines(x= 150 , ymin = 0 ,ymax= scipy.stats.uniform.pdf(x=30 , loc= min , scale = max-min) , color ='black')
# ax.vlines(x= 5 , ymin = 0 ,ymax= scipy.stats.uniform.pdf(x=30 , loc= min , scale = max-min) , color ='black')
#
ax.fill_between(x , y , 0 , where = (x>= 150)) #오차있으므로 신경 끄자.
ax.text(0-15 , 0.0034 , "y = {}".format(round(scipy.stats.uniform.pdf(x=30 , loc= min , scale = max-min),7)), fontsize = 14)
#
#area = 1- P(25<=X<150)
area = 1- (scipy.stats.uniform.pdf(x=30 , loc= min , scale = max-min) *(150-25))
#
#
ax.text(95 ,0.0034 , "P(X>=150) = {}".format(round(area,3)), fontsize = 14)
==> x축의 시작이 25부터 인점 주목하자!!!!!

3> 무작위로 한 사람 선정, 이사람이 연간 50만원 이상 , 150만원 이하로 지출할 확률
P(50<=X<=150) = P(X<=150) - P(X<=50) = 0.3636
fig = plt.figure(figsize= (15,8))
ax = sns.lineplot(x= x , y= y)
ax.hlines(y= scipy.stats.uniform.pdf(x=30 , loc= min , scale = max-min) , xmin = min-10 , xmax =310)
#
ax.vlines(x= 150 , ymin = 0 ,ymax= scipy.stats.uniform.pdf(x=30 , loc= min , scale = max-min) , color ='black')
ax.vlines(x= 50 , ymin = 0 ,ymax= scipy.stats.uniform.pdf(x=30 , loc= min , scale = max-min) , color ='black')
#
ax.fill_between(x , y , 0 , where = (x<= 150) & (x>=50)) #오차있으므로 신경 끄자.
ax.text(0-15 , 0.0034 , "y = {}".format(round(scipy.stats.uniform.pdf(x=30 , loc= min , scale = max-min),7)), fontsize = 14)
#
#area = P(X<=150) - P(X<=50)
area = (scipy.stats.uniform.pdf(x=30 , loc= min , scale = max-min) *(150-25)) - (scipy.stats.uniform.pdf(x=30 , loc= min , scale = max-min) *(50-25))
#
#
ax.text(155 ,0.0034 , "P(50<=X<=150) = {}".format(round(area,4)), fontsize = 14)

출처 : [쉽게 배우는 생활속의 통계학] [북스힐 , 이재원]
※혼자 공부 정리용