insert() , index★그룹화 자료의 분산과 표준편차★기초통계학-[Chapter03 - 07]
2022. 12. 7. 09:45
728x90
반응형
1. 그룹화 자료의 분산과 표준편차
A ='29 30 49 21 39 38 15 39 48 41 50 38 33 40 51 29 31 42 29 69 37 20 49 40 10 49 49 49 35 45 22 45 20 45 30 41 40 38 10 31 47 19 31 21 41 46 28 29 18 28'
A = list(map(int, A.split(' ')))
A
A = [29, 30, 49, 21, ············]
B = pd.DataFrame({'계급간격' : interval ,'도수(f_i)' : hist , '계급값(x_i)' : Steps} )
B= B.set_index('계급간격')
B
B['f_i_x_i'] = B['도수(f_i)'] * B['계급값(x_i)']
B['x_i - |x'] = B['도수(f_i)'] - round(float(A.mean()),2)
B['(x_i - |x)**2'] = B['x_i - |x']**2
B['(x_i - |x)**2 * f_i'] =B['(x_i - |x)**2'] *B['도수(f_i)']
B
a = pd.DataFrame(B[:].sum(axis=0))
# a.transpose()
a = a.transpose()
a[['계급값(x_i)', 'x_i - |x' , '(x_i - |x)**2', 'f_i_x_i'] ] = '-'
a
a.index = ['합계']
a
==> INDEX 값 재설정
B = pd.concat([B , a])
B
==> 밑에 집어넣기
C = pd.DataFrame({'계급간격' : ['0.5~4.5' , '4.5~8.5' , '8.5~12.5' , '12.5~16.5' , '16.5~20.5' , '20.5~24.5', '24.5~28.5', '28.5~32.5'] ,'도수(f_i)' : [25,55,60,90,115,85,50,20] , '계급값(x_i)' : [2.5,6.5,10.5,14.5,18.5,22.5,26.5,30.5]} )
C= C.set_index('계급간격')
C
C['f_i_x_i'] = C['도수(f_i)'] * C['계급값(x_i)']
print(sum(C['f_i_x_i']))
C['x_i - |x'] = C['계급값(x_i)'] - (sum(C['f_i_x_i'])/sum(C['도수(f_i)']))
C['(x_i - |x)**2'] = (C['x_i - |x']**2)
C['(x_i - |x)**2 * f_i'] = (C['(x_i - |x)**2'] *C['도수(f_i)'])
C

var = (C.iloc[-1,-1] / C.iloc[-1,0])
std = math.sqrt(var)
print("분산 : {} 표본표준편차 : {}".format( var , std))
분산 : 50.694399999999995 표본표준편차 : 7.119999999999999
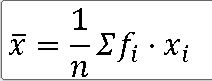
표본평균 |X : sum(f_i_x_i) / sum(도수 합)

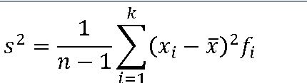
표본표준편차 s**2 : sum((x_i - |x)**2) / (sum(도수 합) -1)

f_i :.




https://knowallworld.tistory.com/214
★DDOF = 1★모/표본분산 , 모/표본표준편차★평균편차★기초통계학-[Chapter03 - 04]
산포의 척도 ==> 평균깊이가 1.2M인 강을 키가 1.7M인 사람이 걸어서 무사히 건널 수 있는지에 대해 생각 ==> 강의 평균 깊이가 1.2M 라는 뜻은 1.2M보다 작은 부분도 있지만 1.2M보다 깊은 곳도 있을 수
knowallworld.tistory.com
==>그룹화 자료의 분산은 표본 분산 구하는 공식에 도수를 곱한 값이다.
EX)
그룹화 자료형의 분산(s**2) = 60/(30-1) = 2.0689
표본분산(s) = 1.4383
출처 : [쉽게 배우는 생활속의 통계학] [북스힐 , 이재원]
※혼자 공부 정리용
728x90
반응형
'기초통계 > 평균,표준편차,분산' 카테고리의 다른 글
| annotate★IQR★boxplot★z-점수와 분위수★기초통계학-[Chapter03 - 09] (0) | 2022.12.07 |
|---|---|
| 변동계수★기초통계학-[Chapter03 - 08] (0) | 2022.12.07 |
| 경험적규칙★체비쇼프 정리★기초통계학-[Chapter03 - 06] (0) | 2022.12.06 |
| ★distplot , histplot , twinx(), ticker , axvline()★정규분포 그래프★기초통계학-[Chapter03 - 05] (0) | 2022.12.06 |
| ★DDOF = 1★모/표본분산 , 모/표본표준편차★평균편차★기초통계학-[Chapter03 - 04] (0) | 2022.12.02 |